
နေရောင်ခြည်စွမ်းအင်သုံး လျှပ်စစ်ဓာတ်အားထုတ်လုပ်ရေးစနစ်ကို ဒီဇိုင်းဆွဲခြင်းသည် အစိတ်အပိုင်းများကို စုဆောင်းခြင်းမျှသာမဟုတ်ပါ။ ၎င်းသည် သင်၏ သီးခြားစွမ်းအင်လိုအပ်ချက်များနှင့် ကိုက်ညီသည့် မျှတပြီး ထိရောက်သော စနစ်ထည့်သွင်းမှု ဖန်တီးခြင်းအကြောင်း ဖြစ်သည်။ ဤလမ်းညွှန်ချက်သည် သင့်အား ရှုထောင့်တစ်ခုစီ၏ ကျယ်ကျယ်ပြန့်ပြန့်နားလည်မှုရရှိစေရန်အတွက် အဓိကကျသောအဆင့်များမှတစ်ဆင့် သင့်ကိုလမ်းပြပေးပါသည်။
1. ဆိုလာ PV စနစ် အစိတ်အပိုင်းများ ရွေးချယ်ခြင်း။
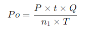
ဆိုလာပြား ပါဝါ တွက်ချက်မှု-
ဆိုလာပြားများမှ ထုတ်ပေးသော ပါဝါသည် သင့်စနစ်၏ ကျောရိုးဖြစ်သည်။ လျှပ်စစ်ဓာတ်အား အလုံအလောက်ထုတ်လုပ်နိုင်စေရန်အတွက် လိုအပ်သော ဆိုလာပြားပါဝါ (Po) ကို တွက်ချက်ရန် လိုအပ်ပါသည်။ ဤတွက်ချက်မှုအတွက် ဖော်မြူလာမှာ-

ဘယ်မှာလဲ-
P (Load Power) : ချိတ်ဆက်ထားသော စက်များအားလုံး၏ စုစုပေါင်းပါဝါသုံးစွဲမှု (watts)။ ၎င်းတွင် မီးချောင်းများ၊ ရေခဲသေတ္တာများနှင့် လေအေးပေးစက်များကဲ့သို့သော ပစ္စည်းများ ပါဝင်သည်။
t (အသုံးပြုချိန်)- ဤစက်ပစ္စည်းများသည် နေ့စဥ်မည်မျှကြာကြာ (နာရီအတွင်း) လည်ပတ်သည်။
n1 (ထိရောက်မှု)- စနစ်၏ ကူးပြောင်းမှု ထိရောက်မှု၊ ပုံမှန်အားဖြင့် 85% ဝန်းကျင်။ ၎င်းသည် DC မှ AC သို့ ပြောင်းလဲချိန်တွင် စွမ်းအင်ဆုံးရှုံးမှုကို တွက်ချက်သည်။
T (နေရောင်ခြည်နာရီ)- သင့်တည်နေရာရှိ ပျမ်းမျှ နေရောင်ခြည် အမြင့်ဆုံးနာရီ အရေအတွက်။ ၎င်းသည် ပထဝီဝင်အနေအထားအရ သိသိသာသာကွဲပြားသောကြောင့် အရေးကြီးပါသည်။
မေး (Weather Factor)- တိမ်ထူသော သို့မဟုတ် မိုးရွာသောနေ့များကဲ့သို့ စံပြထက်နည်းသော ရာသီဥတုအခြေအနေများအတွက် ထည့်သွင်းစဉ်းစားရမည့်အချက်။ ရာသီဥတုပေါ်မူတည်၍ ပုံမှန်အားဖြင့် 1.2 နှင့် 2 ကြားရှိသည်။
ဘာကြောင့် အရေးကြီးသလဲ- ဆိုလာပြားပါဝါကို တိကျစွာ တွက်ချက်ရန် အရေးကြီးပါသည်။ လျှော့တွက်ခြင်းသည် လျှပ်စစ်ဓာတ်အား မလုံလောက်မှုကို ဖြစ်ပေါ်စေနိုင်ပြီး၊ လွန်ကဲပါက မလိုအပ်ဘဲ ကုန်ကျစရိတ်များ တိုးလာနိုင်သည်။ ကြိုတင်ခန့်မှန်းနိုင်သော ရာသီဥတုရှိသော ဒေသများတွင် မြင့်မားသော Q တန်ဖိုးကို ရွေးချယ်ခြင်းသည် ယုံကြည်စိတ်ချရမှုကို အာမခံပါသည်။
ဥပမာ- အကယ်၍ သင်သည် တရုတ်နိုင်ငံ၊ Guangzhou တွင်ရှိပြီး သင့်နေ့စဉ်ဝန်အားသည် 4 နာရီဖြင့် 5kW ဖြစ်ပြီး၊ သင်သည် Q factor 1.5 ကိုရွေးချယ်ပါက၊ တစ်သမတ်တည်း ဓာတ်အားထုတ်လုပ်နိုင်စေရန်အတွက် 9437W ဆိုလာပြားများ လိုအပ်မည်ဖြစ်ပါသည်။
2. Battery Capacity တွက်ချက်ခြင်း။
ဘက်ထရီသည် သင့်ဆိုလာစနစ်၏ နှလုံးသားဖြစ်သည်။နေရောင်ခြည်မထွန်းလင်းချိန်တွင် အသုံးပြုရန် စွမ်းအင်ကို သိုလှောင်ထားသည်။ မှန်ကန်သော ဘက်ထရီပမာဏ (C) ကို တွက်ချက်ရာတွင် အောက်ပါတို့ ပါဝင်ပါသည်။

ဘယ်မှာလဲ-
C (စွမ်းရည်)- အမ်ပါရီနာရီ (Ah) တွင် လိုအပ်သော ဘက်ထရီပမာဏ။
V (ဗို့အား) - သင်၏တပ်ဆင်မှုပေါ်မူတည်၍ မကြာခဏ 12V၊ 24V သို့မဟုတ် 48V၊ စနစ်၏ဗို့အား။
K (Discharge Coefficient)- စွန့်ထုတ်မှုအတိမ်အနက်၊ ဘက်ထရီစွမ်းဆောင်ရည်နှင့် ပတ်ဝန်းကျင်ဆိုင်ရာအချက်များကို ရောင်ပြန်ဟပ်သည်။ ပုံမှန်အားဖြင့် 0.4 မှ 0.7 အထိ ရှိတတ်သည်။ မြင့်မားသောတန်ဖိုးများသည် ပိုမိုနက်ရှိုင်းစွာ ထုတ်လွှတ်မှုများနှင့် သေးငယ်သော ဘက်ထရီများကို ဆိုလိုသော်လည်း ဘက်ထရီသက်တမ်း ကုန်ကျစရိတ်မှာ ပိုများသည်။
သော့ထိုးထွင်းသိမြင်မှု- ဘက်ထရီပမာဏရွေးချယ်မှုသည် ကုန်ကျစရိတ်နှင့် ယုံကြည်စိတ်ချရမှုကြား ချိန်ခွင်လျှာဖြစ်သည်။ ပိုကြီးသောဘက်ထရီများသည် ရာသီဥတုဆိုးရွားချိန်တွင် အရန်သိမ်းခြင်းကို ပံ့ပိုးပေးသော်လည်း ၎င်းတို့သည် စနစ်၏ကုန်ကျစရိတ်ကို တိုးစေသည်။ သင်၏ သီးခြားလိုအပ်ချက်များနှင့် ဘတ်ဂျက်အပေါ်အခြေခံ၍ အလယ်အလတ်အခြေခံကို ရှာဖွေရန် အရေးကြီးပါသည်။
ဥပမာ- 5kW ဝန်အားနှင့် တိမ်ထူသောနေ့ရက်တစ်ရက်တည်းရှိသော စနစ်အတွက်၊ အား 48V တွင် 200Ah ဝန်းကျင်ဘက်ထရီလိုအပ်မှုကို တွက်ချက်နိုင်ပြီး၊ အားသွင်းဖော်ကိန်း 0.5 နှင့် အင်ဗာတာထိရောက်မှု 0.9 ရှိသည်ဟု ယူဆနိုင်သည်။
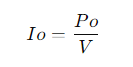
3. ဆိုလာအားသွင်း ထိန်းချုပ်ကိရိယာ ရွေးချယ်မှု
ဆိုလာအားသွင်းကိရိယာသည် ဆိုလာပြားများမှ ဘက်ထရီများဆီသို့ ဗို့အားနှင့် လျှပ်စီးကြောင်းကို ထိန်းညှိပေးကာ အားပိုမကုန်အောင် ကာကွယ်ပေးသည်။ မှန်ကန်သော ထိန်းချုပ်ကိရိယာကို ရွေးချယ်ရန်-

ဘယ်မှာလဲ-
Io (Controller Current): Controller (Amps) အတွက် လိုအပ်သော လက်ရှိ အဆင့်သတ်မှတ်ချက်။
V (ဗို့အား): ဘက်ထရီဗို့အားနှင့် ကိုက်ညီသော စနစ်ဗို့အား။
အရေးကြီးသောထည့်သွင်းစဉ်းစားမှု- မြင့်မားသောအမြင့်ရှိသောဒေသများတွင်၊ နေရောင်ခြည်၏ပြင်းထန်မှုပိုမိုမြင့်မားနိုင်ပြီး၊ ထိန်းချုပ်သူ၏စွမ်းရည်ကိုကျော်လွန်နိုင်သည်။ ထိုသို့သောအခြေအနေမျိုးတွင်၊ ရေရှည်ခံနိုင်ရည်ရှိစေရန်အတွက် ပိုမိုမြင့်မားသောလက်ရှိအဆင့်သတ်မှတ်ထားသော controller ကိုရွေးချယ်ခြင်းသည် ပညာရှိရာရောက်ပါသည်။
ပေါင်းစည်းခြင်းဆိုင်ရာ အကြံပြုချက်- ခေတ်မီစနစ်များသည် အားသွင်းကိရိယာအား အင်ဗာတာနှင့် ပေါင်းစပ်လေ့ရှိပြီး တပ်ဆင်မှုလုပ်ငန်းစဉ်ကို ရိုးရှင်းစေသည်။ သို့ရာတွင်၊ ပေါင်းစပ်ယူနစ်သည် သင့်စွမ်းအင်လိုအပ်ချက်အားလုံးနှင့် ကိုက်ညီကြောင်း သေချာပါစေ။
4. အင်ဗာတာ ရွေးချယ်မှု
အင်ဗာတာသည် အိမ်သုံးပစ္စည်းများအတွက် ဆိုလာပြားများ သို့မဟုတ် ဘက်ထရီများမှ DC ပါဝါကို AC ပါဝါအဖြစ်သို့ ပြောင်းလဲပေးပါသည်။ အင်ဗာတာ (Pn) ၏မှန်ကန်သောရွေးချယ်မှုတွင်-

ဘယ်မှာလဲ-
Pn (Inverter Capacity): VA တွင် အင်ဗာတာ၏ စွမ်းဆောင်ရည်။
CosX (ပါဝါအချက်): ပုံမှန်အားဖြင့် 0.8 ဝန်းကျင်တွင် AC ပါဝါပြောင်းလဲခြင်း၏ ထိရောက်မှုကို ထင်ဟပ်စေသည်။
Q (Safety Margin)- အထူးသဖြင့် မော်တာများနှင့် ကွန်ပရက်ဆာများကဲ့သို့ inductive loads များဖြင့် startup surges အတွက် ထည့်သွင်းရမည့်အချက်။ ၎င်းသည် ပုံမှန်အားဖြင့် 1.1 နှင့် 1.3 ကြားဖြစ်သည်။
ဘာကြောင့်အရေးကြီးသလဲ- စွမ်းရည်မလုံလောက်သော အင်ဗာတာတစ်ခုကို ရွေးချယ်ခြင်းသည် အထူးသဖြင့် လေအေးပေးစက် သို့မဟုတ် ပန့်များကဲ့သို့ inductive loads များနှင့် ကိုင်တွယ်သောအခါတွင် စနစ်ကျရှုံးမှုကို ဖြစ်စေနိုင်သည်။ ဤလှိုင်းများကို လိုက်လျောညီထွေဖြစ်စေရန် အမြဲတမ်းဘေးကင်းသောအနားသတ်တွင် ထည့်သွင်းပါ။
ဥပမာ- 1.3kW လေအေးပေးစက်အတွက်၊ inductive load အတွက် 3x surge နှင့် safety margin 1.1 အတွက်၊ လိုအပ်သော အင်ဗာတာ ပမာဏသည် 5.36kW ဝန်းကျင်ဖြစ်လိမ့်မည်။
5. စနစ်ဖွဲ့စည်းမှု
ဤတွက်ချက်မှုများအားလုံးကို ပေါင်းစည်းခြင်းဖြင့် သင်၏ သီးခြားလိုအပ်ချက်များနှင့် ကိုက်ညီသော စနစ်တစ်ခုကို သင် configure လုပ်နိုင်ပါသည်။
နမူနာဖွဲ့စည်းပုံ-
တည်နေရာ- Abuja၊ တစ်နေ့လျှင် ပျမ်းမျှ နေရောင်ခြည် ၅.၄၅ နာရီ ရှိသည်။
စုစုပေါင်း Load Power: 1965W၊ inductive load (လေအေးပေးစက်) ပါဝင်သည်။
စွမ်းအင်သိုလှောင်မှု- 15635Wh၊ အနည်းဆုံး တစ်ရက် အရန်သိမ်းရန် လုံလောက်ပါသည်။
စနစ်အမျိုးအစား- မီးစက် သို့မဟုတ် ဂရစ်ကဲ့သို့သော ပြင်ပပါဝါအရင်းအမြစ်များအပေါ် မှီခိုခြင်းမရှိသော Off-Grid။
ဘက်ထရီ အမျိုးအစား- လီသီယမ်-အိုင်းယွန်း၊ ၎င်း၏ တာရှည်ခံမှုနှင့် နက်ရှိုင်းစွာ ထုတ်လွှတ်နိုင်စွမ်းအတွက် ဦးစားပေး။
လက်တွေ့ကျသော ထိုးထွင်းသိမြင်ခြင်း- ဤဖွဲ့စည်းပုံသည် တိမ်ထူသောအချိန်များတွင်ပင် တိမ်ထူထပ်သောအချိန်များတွင်ပင် ယုံကြည်စိတ်ချရသော ပါဝါထောက်ပံ့မှုရရှိစေမည့် နေရောင်ခြည်နှင့် အနည်းအကျဉ်းမျှသော အခြေခံအဆောက်အဦများရှိသည့် နေရာများအတွက် စံပြဖြစ်ပါသည်။

6. System Wiring Diagram
နောက်ဆုံးအဆင့်မှာ အသေးစိတ် wiring diagram ဖန်တီးရန်ဖြစ်သည်။ ၎င်းသည် ဆိုလာပြားများ၊ ဘက်ထရီများ၊ အင်ဗာတာများ၊ အားသွင်းကိရိယာနှင့် ဝန်များအကြား ချိတ်ဆက်မှုများကို ရှင်းလင်းစွာပြသသင့်သည်။ အစိတ်အပိုင်းများအားလုံးကို ကောင်းစွာချိတ်ဆက်ပြီး ကာကွယ်ထားကြောင်း သေချာစေရန်စနစ်၏ တပ်ဆင်မှုနှင့် ပြုပြင်ထိန်းသိမ်းမှုနှစ်ခုလုံးအတွက် ကောင်းမွန်စွာရေးဆွဲထားသော ဝိုင်ယာပုံချပ်သည် မရှိမဖြစ်လိုအပ်ပါသည်။
အဘယ်ကြောင့် အရေးကြီးသနည်း- ရှင်းလင်းသော ဝိုင်ယာကြိုးပုံသည် တပ်ဆင်မှုဆိုင်ရာ အမှားအယွင်းများကို လျော့နည်းစေကာ စနစ်ထိရောက်မှု မရှိခြင်း သို့မဟုတ် ချို့ယွင်းမှုများပင် ဖြစ်စေနိုင်သည်။ ၎င်းသည် ပြဿနာဖြေရှင်းခြင်းနှင့် အနာဂတ်အဆင့်မြှင့်တင်မှုများအတွက် အဖိုးတန်သော ရည်ညွှန်းချက်တစ်ခုလည်းဖြစ်သည်။
လူနေအိမ်၊ စီးပွားရေး၊ သို့မဟုတ် စက်မှုလုပ်ငန်းသုံး အက်ပလီကေးရှင်းအတွက် ဒီဇိုင်းတစ်ခု လိုအပ်သည်ဖြစ်စေ ကျွန်ုပ်တို့ထံ ဆက်သွယ်ပါ။ www.suness.com သင်၏ စွမ်းအင်သိုလှောင်မှုစနစ်ကို အခမဲ့ ဒီဇိုင်းဆွဲရန် ကျွန်ုပ်တို့ ကူညီနိုင်ပါသည်။